Neden F1.0 Lens Tam Renkli Gece Gözetiminin Sırrı? Şangay İpek Optik

2026-03-24 - bana mesaj bırak

Işığın Matematiği: F1.0 Neden Küçük Bir Adım Değil, Büyük Bir Atılımdır?

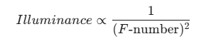
Güvenlik ekipmanı satın alırken veya üretirken F2.0 lense ve F1.0 lense bakıp şunu düşünmek kolaydır:"Sadece 1,0 fark, değil mi?"Yanlış. Optik dünyasında f sayıları doğrusal olarak ölçeklenmez. F sayısı (veya odak oranı), merceğin odak uzunluğunun giriş gözbebeğinin çapına oranıdır. Bir merceğin ışık toplama gücüne (aydınlık) ilişkin formül, sensöre çarpan ışık miktarının f sayısının karesiyle ters orantılı olduğunu belirtir:

Dolayısıyla, bir F2.0 lensi bir F1.0 lensle karşılaştırırsak, ışık alımındaki farka ilişkin hesaplama şu şekilde görünür:

F1.0 lens size F2.0 lensin iki katı ışık vermez; tam olarak dört kat ışık verir.Bir kovada yağmuru yakalamaya çalıştığınızı hayal edin. F1.0'a yükseltme yapmak, standart kovanızı çocuk havuzuyla değiştirmek gibidir. Dört kat daha fazla ortam fotonunu (sokak lambalarından, aydan veya uzaktaki binalardan) modern bir Yıldız Işığı seviyesi sensörüne aktardığınızda, kameranın görüntü sinyali işlemcisinin (ISP) kazancı yapay olarak artırması gerekmez.
  • Düşük Kazanç = Düşük Gürültü:Rahatsız edici dijital "kar" olmadan temiz, keskin bir görüntü elde edersiniz.

  • Yüksek Işık = Tam Renkli:Sensör, gecenin ortasında bile renkleri doğru bir şekilde işlemek için yeterli dalga boyu verisi alır.

Önemli Nokta: Neden Herhangi Bir Lensi "F1.0" Yapamıyorsunuz?

Eğer F1.0 bu kadar harikaysa neden her kamerada bir tane bulunmuyor? Çünkü bu kadar ışığı doğru bir şekilde bükmek inanılmaz derecede zordur.

Bu kadar geniş bir diyafram açıklığı açtığınızda optik kaosa davetiye çıkarırsınız: merceğin kenarlarına çarpan ışık ışınları renk sapmasına (mor saçaklanma) ve görüntünüzün köşelerinde ciddi bulanıklığa neden olur. F1.0 diyafram açıklığını kontrol etmek için merceğin iç yapısının ustalıkla tasarlanması gerekir.

Ucuz plastik lensler ile profesyonel kalitede cam arasındaki ayrımın kritik hale geldiği yer burasıdır.

PL100'e girin: 7E Yapısının Gücü

Shanghai Silk Optical Technology Co., Ltd.'de şunları tasarladık:PL100 Objektifözellikle üst düzey güvenlik ve robotik uygulamalara yönelik F1.0 mühendislik sorununu çözmek için.

1/2,7 sensörde F1,0 diyafram açıklığıyla 2MP-5MP çözünürlük elde etmek yoğun hassasiyet gerektirir. Bunu standart plastik elemanlarla başaramazsınız. PL100 şunları kullanır:7E (Yedi Element) Tamamen Cam Yapı. İşte bunun sizin için önemli olmasının nedeni:

  • Eşsiz Geçirgenlik:Cam, plastiğe göre daha fazla ışığın geçmesine izin verir. F1.0 lensin tüm amacı ışık alımını en üst düzeye çıkarmak olduğunda, plastik elemanların kullanılması amacı boşa çıkarır. 7E cam yapısı, yakalanan fotonların maksimum miktarının sensöre ulaşmasını sağlar.

  • Üstün Termal Kararlılık:Güvenlik kameraları açık havada yaşıyor. Yazın güneşte pişirip kışın donduruyorlar. Plastik lensler sıcaklık değişimleriyle genişleyip büzülür, odak noktası hafifçe kayar ve mükemmel keskinliğe sahip kameranızın zamanla bulanıklaşmasına neden olur (termal kayma olarak bilinen bir olay). Cam inanılmaz derecede dayanıklıdır. PL100'ün 7E yapısı, ister 40°C ister -20°C olsun, 4 mm odak uzaklığınızın tam olarak 4 mm'de kalmasını sağlar.

  • Kenardan Kenara Netlik:89°'lik geniş Yatay FOV ile hassas şekilde hizalanmış 7 cam eleman, büyük F1.0 diyafram açıklığının doğal olarak neden olduğu optik bozulmayı düzelterek çekiminizin kenarlarını merkez kadar keskin tutar.

Satınalma Yöneticileri ve Mühendislere Karar

Tam renkli gece gözetimine geçmek bir hile değildir; güvenlik endüstrisi için yeni standarttır. Ancak ucuz, dar diyafram açıklığına sahip bir merceğin arkasına üst düzey bir Starlight sensörü yerleştirmek, bir spor arabanın motorunu golf arabasına koymak gibidir.

"Ek ışık olmadan renk"in gerçek anlamda kilidini açmak için, tamamen cam bir yapının termal kararlılığı ve yüksek geçirgenliği ile desteklenen F1.0 diyafram açıklığının 4x ışık toplama gücüne ihtiyacınız vardır.

(Donanım serinizi yükseltmeye hazır mısınız?PL100'ün ve diğer hassas optik lenslerimizin tüm özelliklerini burada keşfedin.)

Talep Gönder

X
Size daha iyi bir gezinme deneyimi sunmak, site trafiğini analiz etmek ve içeriği kişiselleştirmek için çerezleri kullanıyoruz. Bu siteyi kullanarak çerez kullanımımızı kabul etmiş olursunuz. Gizlilik Politikası
Reddetmek Kabul etmek